今年のプロレス界、特にアメリカプロレス界は近年類を見ないような変化が生じている年であることは疑いようのない事実だとは思うところです。
その大きな変化はケニー・Cody・ヤングバックスらの旗揚げしたAEWの登場が引き金になり、それに世界最大手であるWWEも対抗措置とみられる施策を打ち出したことでより現実味を帯びているわけです。
そのWWEによる「対AEW」の対抗措置の一つとみられているのが、それまでWWE Networkで配信されていたNXTをアメリカのケーブルテレビ、USAネットワークでの放送を開始したこと。
その日時も、先日は正式に発表されたAEWのテレビ番組Dynamiteと同じ水曜日に、その開始に数週先んじての開始だっただけに、ファンの中ではかつてWWEとWCW間で行われた視聴率戦争、Monday night warsを思い起こす人もいたんじゃないでしょうか。
まぁもちろんそれらの番組は日本からは見ることができない(一応アーカイブでWWE Networkにアップされるらしいけど)んですが、この動向をTwitterでの反応面で追っかけていきたいなぁと思っています。
で、今回はAEWの放送開始に先んじて始まったNXTのテレビ放送に対するTwitter上での反応を、ユーザーの重複度などに注目して調べてみました。
(この記事は先日投稿した【Twitter】User overlap of this week's Raw/SDLive/NXT - プロレス統計の日本語版的な記事です)
集計したもの
今回はいつものツイート解析のようにTwitterAPIを用いたツイート集計プログラムで、WWEの3つのテレビ番組、Raw、SmackdownLIVE、NXTの放送日に各番組のハッシュタグを含むツイートを集計しました。
Rawは9月16日、Smackdownは17日、NXTは18日、それぞれアメリカの東部標準時で末一日分のツイートを集計し、下記の解析に用いています。
ちなみに注意点として、現在Rawは3時間、Smackdownは2時間番組であり、NXTも2時間番組が予定されていますが、18日の放送では前半1時間のみをUSAネットワークで、後半1時間はWWE Networkで中継していたそうで、そういう意味では今回は特殊な状況でした。
なので来週以降はNXTのツイートもより増えるんではないかと考えています。
NXT関連ハッシュタグ数値比較
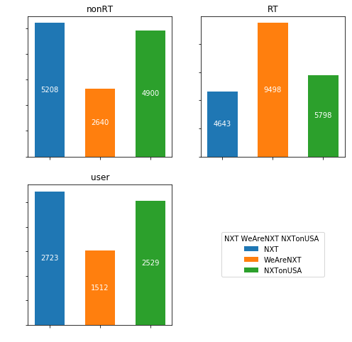
で、少し調べてみたのですがどうやら先日のNXT初回放送では少なくとも3つのハッシュタグが用いられていた模様。
それが#NXT, #WeAreNXT、#NXTonUSAの3つ。
果たしてどれが公式なのか、使い分けはどうなっているのか、を調べるべくまずこの3つのハッシュタグについてツイート、リツイート、ユーザー数を調べたのがこちら

ごらんのようにツイート及びユーザー数に関しては#NXTと#NXTonUSAはほぼ同等かわずかに#NXTが多い感じで、#WeAreNXTは他二つと比べるとかなり少なかったようです。
一方でリツイート数に関しては関係性がちょうど逆転した形で、#WeAreNXT>>>#NXTonUSA>#NXTという感じになっています。
この理由については定かではないですが、これまで別の団体(新日本など)のツイート解析をしてみると団体の公式アカウントなどのツイートがより多くリツイートされる傾向にあったので、#WeAreNXTというハッシュタグをNXTやWWEの公式アカウントが率先して使っていたんではないでしょうか、初回放送という特別な状況もあって。
一方で試合・番組を実況する上ではオーソドックスな#NXTやNXT関連コンテンツの中でもテレビ放送に限定している#NXTonUSAが用いられたのではないですかね。
以下のユーザー解析では最もユーザーが多かった#NXTのデータを用いています。
ユーザー重複度

上のベン図はRaw(#raw)でつぶやいたユーザー、Smackdown(#SDLive)でつぶやいてユーザー、そしてNXTでつぶやいたユーザーについて重複度合いを調べたもので、
例えばNXTでのみつぶやいたユーザーは1589人、NXTとrawでつぶやいたのが430人、すべてでつぶやいたのが559人などというようになります。
ユーザーは合計で11,890人となり、いつに半分近くがrawでのみつぶやいているユーザーになっていることが分かります。
NXTでつぶやいたユーザーは全部で2,723人で全体の20%弱であり、規模としてはrawの30%弱、Smackdownの57%弱とまだまだファン数は多くはない感じですね。
NXTでのみつぶやいた独自ユーザーは1589人でNXT全体の58%となっており、これによってRawとSmackdownのみの場合と比較して15%のユーザー数の増加に貢献しているとも言えます。
これを踏まえてみると規模こそRawやSmackdownと比べて大きくないものの、独自の支持層を持った第3のブランドと主張できるだけのユーザー層が既にあるといえる感じですね。
所感雑感
というわけで簡単にですがNXT初回放送記念のユーザー重複度調査でした。
まぁ本番はAEWの放送が始まってから、とか数か月集計した後に同じ調査をした場合にどうか、ということだと思うのでそこは長期的に定期的にやっていきたいと思います。
如何せん海の向こうで時差も大きい場所での出来事なのでなんとも実感がわきづらいWWEvsAEWの対立ですけど、ここ数年で例のない大きな出来事なので注意深く見ていきたいところです、何よりも面白そうだし。
きょうはこれまで、それでは